Seanergy Maritime Reports Financial Results for the Third Quarter and Nine Months Ended September 30, 2023 and Declares Dividend of $0.025 Per Share


Other Highlights and Developments:
▪ Fleet Time Charter Equivalent (“TCE” 3) overperformance of Baltic Capesize Index (“BCI”) by 14% in 3Q23 & by 18% in 9M23
▪ Consistent quarterly cash dividend of $0.025 per share for Q3 2023 o Total cash dividends of $1.35 per share, or $24.4 million declared since March 2022
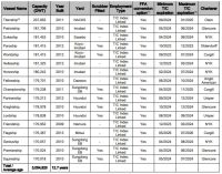
▪ Delivery of the M/V Titanship, a 2011-built Newcastlemax, acquired through a 12-month bareboat charter with a purchase option
▪ About 30% of the fleet fixed for Q4 2023 at an average rate above $20,000
▪ Q4 2023 combined TCE average earned to date of $21,6404
November 14, 2023 – Athens, Greece – Seanergy Maritime Holdings Corp. (“Seanergy” or the “Company”) (NASDAQ: SHIP), announced today its financial results for the third quarter and nine months ended September 30, 2023. The Company also declared a quarterly dividend of $0.025 per common share for the third quarter of 2023.
For the quarter ended September 30, 2023, the Company generated Net Revenues of $24.5 million, compared to $34.0 million in the third quarter of 2022. Net Loss and Adjusted Net Loss for the quarter were $5.0 million and $2.6 million, respectively, compared to Net Income of $7.1 million and Adjusted Net Income of $7.6 million in the third quarter of 2022. Adjusted EBITDA for the quarter was $9.5 million, compared to $19.0 million for the same period of 2022. The daily TCE rate of the fleet for the third quarter of 2023 was $15,298, compared to $20,614 in the same period of 2022.
1 Adjusted earnings / (loss) per share, Adjusted Net Income / (loss), EBITDA and Adjusted EBITDA are non-GAAP measures. Please see the reconciliation below of Adjusted earnings / (loss) per share, Adjusted Net Income / (loss), EBITDA and Adjusted EBITDA to net income, the most directly comparable U.S. GAAP measure.
2 All references to number of shares, share prices, warrant prices and “per share” figures in this document are adjusted to reflect the one-for-ten reverse stock split effected on February 16, 2023.
3 TCE rate is a non-GAAP measure. Please see the reconciliation below of TCE rate to net revenues from vessels, the most directly comparable U.S. GAAP measure.
4 See analysis on the TCE guidance in the relevant section below.
For the nine-month period ended September 30, 2023, the Company generated Net Revenues of $70.8 million, compared to $96.5 million in the same period of 2022. Net Loss and Adjusted Net Income for the nine months were $8.5 million and $0.5 million, respectively, compared to Net Income of $16.7 million and Adjusted Net Income of $22.4 million in the respective period of 2022. Adjusted EBITDA for the nine months was $29.1 million, compared to $53.3 million for the same period of 2022. The daily TCE rate of the fleet for the first nine-month period of 2023 was $14,935, compared to $20,996 in the same period of 2022.
Cash and cash-equivalents and restricted cash, as of September 30, 2023, stood at $22.0 million. Shareholders’ equity at the end of the third quarter was $217.8 million. Long-term debt (senior loans, a convertible note and other financial liabilities) net of deferred charges stood at $223.3 million, while the book value of the fleet was $416.5 million.
Stamatis Tsantanis, the Company’s Chairman & Chief Executive Officer, stated:
“For the third quarter of 2023, Seanergy reported a TCE of $15,298, outperforming once more the BCI by approximately 14%. While we consistently overperform the index, the general Capesize market fell short of expectations, with the BCI averaging $13,400, marking the lowest Q3 BCI earnings since 2016. Considering our healthy liquidity position and our consistent approach towards shareholder rewards, the Company’s Board of Directors has approved another quarterly dividend of $0.025 per share.
“Net loss for the third quarter of 2023 was $5.0 million. Nonetheless, with about 30% of our fourth quarter days converted to fixed rates above $20,000 and taking into account the strong rally of the Capesize market in October and the overall positive outlook for the sector, we remain optimistic about our financial performance in the current quarter.
“In the first nine months of 2023 we recorded a time charter equivalent of $14,935, compared to an average BCI daily rate of $12,640, representing an outperformance of 18%. Again, the BCI was reduced by 24% as compared to the previous year for the same period. Our freight hedging activities have reduced the volatility of our earnings in a weak Capesize market, while keeping about 70% of our fourth quarter days open.
“Moving on to other developments, we took delivery of our latest acquisition, a 2011-built Newcastlemax on October 24, 2023. The vessel was renamed Titanship and has begun its employment under a time charter to a first-class operator at an index linked charter rate. The significant premium over the BCI, which is the highest earned by any vessel in our fleet to date, will further enhance our commercial performance in the coming months.
I believe that the competitive acquisition cost of this vessel, as well as the limited initial capital outlay, will facilitate high returns on capital. I am very satisfied with our timing on this transaction.
“Moving on to a brief comment about the Capesize market, since the beginning of the year we have seen substantial increases ranging from 3% to 8% in ton-mile demand for the major raw materials of iron ore, coal and bauxite, against an increase of about 2% in the size of the fleet. Despite this very favorable demand backdrop the freight market did not perform according to our expectations for most of the nine-month period ending in September 2023. As mentioned in our previous earnings update, historically low port congestion and efficient utilization of the Capesize fleet increased the effective vessel supply, which put pressure on freight rates. Looking ahead to Q4 and the following quarters, we are very encouraged by low commodity inventories in key areas, as well as a significant increase in demand. In addition, the historically low Capesize orderbook, coupled with the impending environmental regulations will soon reduce the effective vessel supply. Therefore, I remain optimistic about the long-term prospects of our market.
“We firmly believe that Seanergy’s ability to deal with short term volatility has been proven over the past nine months and the combination of our strong balance sheet and effective freight hedging initiatives put us in the best position to benefit from what we believe to be the best Capesize market fundamentals of the past three decades.”
Company Fleet:

